第1章 函数、图像和直线
本章核心总览
不借助函数就无法做微积分,函数是微积分第一基础。
本章全覆盖内容:
- 函数:定义域、上域、值域、垂线检验
- 反函数、水平线检验、限制定义域
- 函数复合、奇偶函数判断与性质
- 线性函数、多项式、常见函数图像
- 绝对值、区间表示、定义域求法
1.1 函数:最核心定义
函数是什么?
函数是一个输入对应唯一输出的变换规则。
- 输入:来自定义域
- 输出:来自上域
- 实际输出的全体:值域(值域 ⊆ 上域)
关键: \(f\) 是函数,\(f(x)\) 是函数值,不能说“\(f(x)\) 是函数”。
例子:\(f(x)=x^2\) 可把任何实数变成平方数。
1.1.1 区间表示法(必须背会)
| 写法 | 含义 | 集合表示 |
|---|---|---|
| \((a,b)\) | 开区间,不含端点 | \( a < x < b\) |
| \([a,b]\) | 闭区间,含端点 | \(a\le x\le b\) |
| \([a,b)\) | 左闭右开 | \(a\le x < b\) |
| \((a,+\infty)\) | 大于a | \(x>a\) |
| \((-\infty,b]\) | 小于等于b | \(x\le b\) |
| \(\mathbb{R}\) | 全体实数 | \((-\infty,+\infty)\) |
1.1.2 求定义域:3大禁区(必考)
定义域:让函数有意义的所有x的集合。
禁区1:分母不能为0
禁区2:偶次根号内 ≥ 0
禁区3:对数真数 > 0
禁区4:tan(90°)无定义
经典例题
\(f(x)=\dfrac{\log_{10}(x+8)\sqrt{26-2x}}{(x-2)(x+19)}\)
① 根号:\(26-2x\ge0\Rightarrow x\le13\)
② 对数:\(x+8>0\Rightarrow x>-8\)
③ 分母:\(x\ne2,x\ne-19\)
定义域:\((-8,2)\cup(2,13]\)
1.1.3 图像求值域:光影法
方法:把图像向 y 轴打水平光,影子覆盖的 y 范围就是值域。
例子: \(F(x) = x^2\),定义域 \([-2, 1)\)
平方后最小值为 0,最大值为 4,所以值域是 \([0, 4]\)。
图:向 y 轴投影求值域
1.1.4 垂线检验:判断是不是函数
规则:任何一条竖直线和图像最多交一次。
- 交一次:是函数
- 交多次:不是函数(一个 x 对应多个 y)
例子:圆 \(x^2 + y^2 = 9\) 不是函数;上半圆 \(y = \sqrt{9 – x^2}\) 是函数。
图:垂线检验,一次相交为函数,多次相交不是函数
1.2 反函数:撤销键
反函数就是把输入和输出反过来:
\( f(x) = y \iff f^{-1}(y) = x \)
反函数 4 条核心性质:
- 定义域 = 原函数的值域
- 值域 = 原函数的定义域
- 还原公式:\( f^{-1}(f(x)) = x \),\( f(f^{-1}(y)) = y \)
- 图像关于直线 \( y = x \) 对称
图:原函数与反函数关于直线y=x对称
📌 典型例子:
1. 一次函数:\( f(x) = 2x + 3 \)
求反函数:由 \( y = 2x + 3 \Rightarrow x = \frac{y-3}{2} \Rightarrow f^{-1}(x) = \frac{x-3}{2} \)
2. 幂函数:\( f(x) = x^3 \)(\( x \in \mathbb{R} \))
反函数:\( f^{-1}(x) = \sqrt[3]{x} \),图像关于 \( y=x \) 对称
3. 指数与对数:\( f(x) = e^x \) 的反函数是 \( f^{-1}(x) = \ln x \)
1.2.1 水平线检验:判断有没有反函数
核心规则:
任意一条水平线与图像最多相交一次,则函数存在反函数。
- \(y = x^3\):有反函数(任意水平线只交一次)
- \(y = x^2\):无反函数(一条水平线交两次)
本质:函数必须是“一一对应”,才能有反函数。
图:\(y=x^3\)可反,\(y=x^2\)不可反
1.2.3 限制定义域:强行造出反函数
\(y = x^2\) 本身没有反函数,但通过限制定义域可以让它“变成”一一对应:
- 定义域 \([0, +\infty)\) → 反函数 \(y = \sqrt{x}\)
- 定义域 \((-\infty, 0]\) → 反函数 \(y = -\sqrt{x}\)
⚠️ 注意:限制定义域后,还原公式 \(f^{-1}(f(x)) = x\) 只在限定区域内成立。
图:限制定义域后的 \(y=\sqrt{x}\) 和\(y = x^2\)
1.3 函数复合:套娃运算
复合:\(f\circ g = f(g(x))\),先算里面,再算外面。
例子:\(f(x)=\cos(x^2)\) 可拆成 \(g(x)=x^2\),\(h(x)=\cos x\),即 \(f=h\circ g\)。
重要区别:
- 复合:有顺序,\(f\circ g\ne g\circ f\)
- 乘积:无顺序,\(f\cdot g = g\cdot f\)
平移:\(f(x-a)\) 右移a;\(f(x+a)\) 左移a。
1.4 奇函数 & 偶函数(必考点)
偶函数:\(f(-x)=f(x)\)
图像关于y轴具有镜面对称,如\(x^2,x^4,\cos x\)。
奇函数:\(f(-x)=-f(x)\)
图像关于原点有180°的点对称,如\(x^3,x^5,\sin x\)。
唯一既奇又偶: \(f(x)=0\)
奇函数在0处有定义: \(f(0)=0\)
判断步骤(万能法)
1. 写出 \(f(-x)\)
2. 化简:
- = \(f(x)\) → 偶函数
- = \(-f(x)\) → 奇函数
- 都不是 → 非奇非偶
1.5 线性函数:直线方程
形式:\(y=mx+b\),m=斜率,b=y截距。
斜率公式
\(m=\dfrac{y_2-y_1}{x_2-x_1}\)
点斜式(最常用)
\(y-y_0=m(x-x_0)\)
1.6 常见函数全总结
① 多项式
一般式:\(a_nx^n+…+a_1x+a_0\)
二次函数:\(ax^2+bx+c\),判别式\(\Delta=b^2-4ac\),必须会配方。
多项式的图像的左右两端走势由最高次数的项的系数决定也就是首项系数
② 有理函数
多项式之比:\(\dfrac{p(x)}{q(x)}\)。
③ 指数 & 对数
\(y=b^x\) 定义域\(\mathbb{R}\),值域\((0,+\infty)\),过\((0,1)\)
\(y=\log_b x\) 定义域\((0,+\infty)\),是指数反函数
④ 绝对值
定义:\[|x|=\begin{cases}x,&x\ge0\\-x,&x<0\end{cases}\]
几何意义:\(|x-y|\) = 数轴上x与y的距离
图像:把x轴下方翻到上方。
本章总结(读透版)
- 函数:1个输入→1个输出,三要素:定义域、上域、值域
- 定义域:避开分母0、偶次根号负、对数≤0
- 垂线检验判函数,水平线检验判反函数
- 反函数:关于y=x对称,限制定义域可强行构造
- 复合函数先内后外,有顺序;乘积无顺序
- 偶函数关于y轴对称,奇函数关于原点对称
- 直线用点斜式,常见函数图像必须熟记
- 绝对值表示距离,图像翻折
本章完全吃透,可直接进入微积分学习!
第2章 三角学回顾
本章核心总览(必须掌握)
微积分离不开三角,本章是所有三角计算的地基。
全覆盖内容:
- 弧度与角度互换(微积分只用弧度)
- 三角函数定义:sin、cos、tan、csc、sec、cot
- 任意角三角函数:象限、参考角、ASTC 法则
- 周期角:大于 2π 与负角的处理
- 六大三角函数图像与奇偶性
- 所有核心三角恒等式(微积分必考)
2.1 弧度制(微积分唯一单位)
核心换算:
\(\pi\) 弧度 = \(180^\circ\),\(2\pi\) 弧度 = \(360^\circ\)
常用角必须背熟
- \(0^\circ = 0\)
- \(30^\circ = \dfrac{\pi}{6}\)
- \(45^\circ = \dfrac{\pi}{4}\)
- \(60^\circ = \dfrac{\pi}{3}\)
- \(90^\circ = \dfrac{\pi}{2}\)
- \(180^\circ = \pi\)
- \(270^\circ = \dfrac{3\pi}{2}\)
- \(360^\circ = 2\pi\)
换算公式
\(\text{弧度} = \dfrac{\pi}{180} \times \text{角度}\)
\(\text{角度} = \dfrac{180}{\pi} \times \text{弧度}\)
2.1 直角三角形定义(基础)
对任意锐角 \(\theta\):
\(\sin\theta = \dfrac{\text{对边}}{\text{斜边}}\)
\(\cos\theta = \dfrac{\text{邻边}}{\text{斜边}}\)
\(\tan\theta = \dfrac{\text{对边}}{\text{邻边}}\)
倒数三个函数(必须记)
\(\csc x = \dfrac{1}{\sin x}\)
\(\sec x = \dfrac{1}{\cos x}\)
\(\cot x = \dfrac{1}{\tan x}\)
【必考表】特殊角三角函数值(要求背死)
| \(0\) | \(\dfrac{\pi}{6}\) | \(\dfrac{\pi}{4}\) | \(\dfrac{\pi}{3}\) | \(\dfrac{\pi}{2}\) | |
|---|---|---|---|---|---|
| \(\sin\) | \(0\) | \(\dfrac{1}{2}\) | \(\dfrac{\sqrt2}{2}\) | \(\dfrac{\sqrt3}{2}\) | \(1\) |
| \(\cos\) | \(1\) | \(\dfrac{\sqrt3}{2}\) | \(\dfrac{\sqrt2}{2}\) | \(\dfrac{1}{2}\) | \(0\) |
| \(\tan\) | \(0\) | \(\dfrac{1}{\sqrt3}\) | \(1\) | \(\sqrt3\) | 无定义 |
这张表不会,微积分寸步难行!
2.2 扩展定义域:任意角三角函数
在坐标系中:角 \(\theta\) 终边上任一点 \((x,y)\),到原点距离 \(r=\sqrt{x^2+y^2}\)(恒正)
\(\sin\theta = \dfrac{y}{r}\)
\(\cos\theta = \dfrac{x}{r}\)
\(\tan\theta = \dfrac{y}{x}\)
单位圆:\(r=1\),则 \(\sin\theta=y,\ \cos\theta=x\)
2.2.1 ASTC 法则(判断正负神器)
象限逆时针:Ⅰ → Ⅱ → Ⅲ → Ⅳ
- All:第一象限全为正
- Sin:第二象限只有 sin 正
- Tan:第三象限只有 tan 正
- Cos:第四象限只有 cos 正
求任意角三角函数步骤(万能)
- 确定角在第几象限
- 求参考角(与x轴最小正角)
- 查表得参考角函数值
- 用 ASTC 定正负
例题:求 \(\sin\dfrac{7\pi}{6}\)
① \(\dfrac{7\pi}{6}\) 在第三象限
② 参考角:\(\dfrac{7\pi}{6}-\pi=\dfrac{\pi}{6}\)
③ \(\sin\dfrac{\pi}{6}=\dfrac12\)
④ 第三象限 sin 负
\(\sin\dfrac{7\pi}{6}=-\dfrac12\)
2.2.2 大于 2π 或负角的处理
周期:三角函数以 \(2\pi\) 为周期(tan 是 \(\pi\))
方法:不断 ±\(2\pi\),把角化到 \([0,2\pi)\) 内再算。
例题:\(\cos\dfrac{15\pi}{4}\)
\(\dfrac{15\pi}{4}-2\pi=\dfrac{15\pi}{4}-\dfrac{8\pi}{4}=\dfrac{7\pi}{4}\)
\(\cos\dfrac{7\pi}{4}=\dfrac{\sqrt2}{2}\)
\(\cos\dfrac{15\pi}{4}=\dfrac{\sqrt2}{2}\)
负角:顺时针旋转
例:\(\sin\left(-\dfrac{5\pi}{6}\right)=\sin\dfrac{7\pi}{6}=-\dfrac12\)
2.3 三角函数图像与奇偶性
\(y=\sin x\)
- 周期:\(2\pi\)
- 值域:\([-1,1]\)
- 奇函数:\(\sin(-x)=-\sin x\)
- 过点:\((0,0),\ (\frac{\pi}{2},1),\ (\pi,0),\ (\frac{3\pi}{2},-1)\)
\(y=\cos x\)
- 周期:\(2\pi\)
- 值域:\([-1,1]\)
- 偶函数:\(\cos(-x)=\cos x\)
- 过点:\((0,1),\ (\frac{\pi}{2},0),\ (\pi,-1)\)
\(y=\tan x\)
- 周期:\(\pi\)
- 渐近线:\(x=\frac{\pi}{2}+k\pi\)
- 奇函数
- 定义域:\(x\neq\frac{\pi}{2}+k\pi\)
\(y=\sec x\)(正割函数)
- 周期:\(2\pi\)
- 渐近线:\(x=\frac{\pi}{2}+k\pi\)
- 偶函数
- 定义域:\(x\neq\frac{\pi}{2}+k\pi\)
- 值域:\((-\infty,-1]\cup[1,+\infty)\)
\(y=\csc x\)(余割函数)
- 周期:\(2\pi\)
- 渐近线:\(x=k\pi\)
- 奇函数
- 定义域:\(x\neq k\pi\)
- 值域:\((-\infty,-1]\cup[1,+\infty)\)
- 周期:\(\pi\)
- 渐近线:\(x=k\pi\)
- 奇函数
- 定义域:\(x\neq k\pi\)
\(y=\cot x\)(余切函数)
整体奇偶性总结
奇函数: \(\sin x,\ \tan x,\ \cot x,\ \csc x\)
偶函数: \(\cos x,\ \sec x\)
2.4 三角恒等式(微积分核心)
1. 基本商数关系
\(\tan x = \dfrac{\sin x}{\cos x}\)
\(\cot x = \dfrac{\cos x}{\sin x}\)
2. 勾股型恒等式(最重要)
\(\sin^2 x + \cos^2 x = 1\)
\(1 + \tan^2 x = \sec^2 x\)
\(1 + \cot^2 x = \csc^2 x\)
3. 互余关系(co- 关系)
\(\sin x = \cos\left(\dfrac{\pi}{2}-x\right)\)
\(\cos x = \sin\left(\dfrac{\pi}{2}-x\right)\)
\(\tan x = \cot\left(\dfrac{\pi}{2}-x\right)\)
4. 和角公式(必须背)
\(\sin(A+B)=\sin A\cos B+\cos A\sin B\)
\(\sin(A-B)=\sin A\cos B-\cos A\sin B\)
\(\cos(A+B)=\cos A\cos B-\sin A\sin B\)
\(\cos(A-B)=\cos A\cos B+\sin A\sin B\)
5. 二倍角公式(高频使用)
\(\sin2x=2\sin x\cos x\)
\(\cos2x=\cos^2x-\sin^2x\)
\(\cos2x=2\cos^2x-1=1-2\sin^2x\)
本章总结(读透版)
- 微积分只用弧度,\(\pi=180^\circ\) 是灵魂
- 特殊角三角函数表必须背到脱口而出
- 任意角用:象限 → 参考角 → ASTC 定正负
- 大角/负角:加减 \(2\pi\) 化到 \([0,2\pi)\)
- sin、tan 奇函数;cos 偶函数
- 三大勾股恒等式是微积分化简神器
- 和角、倍角公式是求导积分的基础
本章完全吃透,三角再也不会拖微积分后腿!
第3章 极限导论
本章核心总览
极限是微积分的灵魂,没有极限就没有微积分。本章只讲直观理解,不讲严格定义。
本章全覆盖内容:
- 极限的直观含义:x 趋近 a,但不等于 a
- 左极限、右极限、双侧极限的关系
- 极限不存在的三种情况
- ∞ 与 −∞ 处的极限、水平渐近线
- 垂直渐近线的正式定义
- 渐近线的两大常见误区
- 三明治定理(夹逼定理)
- 极限全类型图像总结
3.1 极限的基本思想(最核心)
极限到底是什么?
当 \(x\) 无限接近 \(a\),但永远不等于 \(a\) 时,\(f(x)\) 趋近的值,就叫极限。
记作:
\[\lim_{x \to a} f(x) = L\]
含义:\(x\) 越靠近 \(a\),\(f(x)\) 越靠近 \(L\),想多近就多近。
超级关键:极限和 f(a) 无关!
例子:
\[g(x)=\begin{cases}x-1,&x\neq2\\3,&x=2\end{cases}\]
虽然 \(g(2)=3\),但当 \(x\to2\) 时,\(g(x)\to1\),所以:
\(\lim\limits_{x\to2}g(x)=1\)
虚拟变量
极限里的 \(x\) 只是占位符,换成任何字母都一样:
\[\lim_{x\to2}f(x)=\lim_{t\to2}f(t)=\lim_{q\to2}f(q)=1\]
3.2 左极限 & 右极限
右极限(从右边靠近): \(x\to a^+\)
左极限(从左边靠近): \(x\to a^-\)
双侧极限存在的唯一条件
左极限、右极限都存在且相等,双侧极限才存在。
即:
\[\lim_{x\to a^-}f(x)=L \quad \text{且} \quad \lim_{x\to a^+}f(x)=L\]
\[\iff \lim_{x\to a}f(x)=L\]
如果左右不相等 → 双侧极限不存在(DNE)
3.3 何时极限不存在(三种情况)
① 左右极限不相等
例:\(x=3\) 处左极限=1,右极限=−2 → 极限不存在。
② 趋于 ∞ 或 −∞(垂直渐近线)
例:\(f(x)=\dfrac1x\)
\[\lim_{x\to0^+}\frac1x=\infty,\quad \lim_{x\to0^-}\frac1x=-\infty\]
左右不相等 → 极限不存在。
③ 无限振荡,不靠近任何数
最经典例子:\(f(x)=\sin\dfrac1x\),在 \(x\to0\) 时无限震荡。
\(\lim\limits_{x\to0}\sin\dfrac1x\ \text{不存在(DNE)}\)
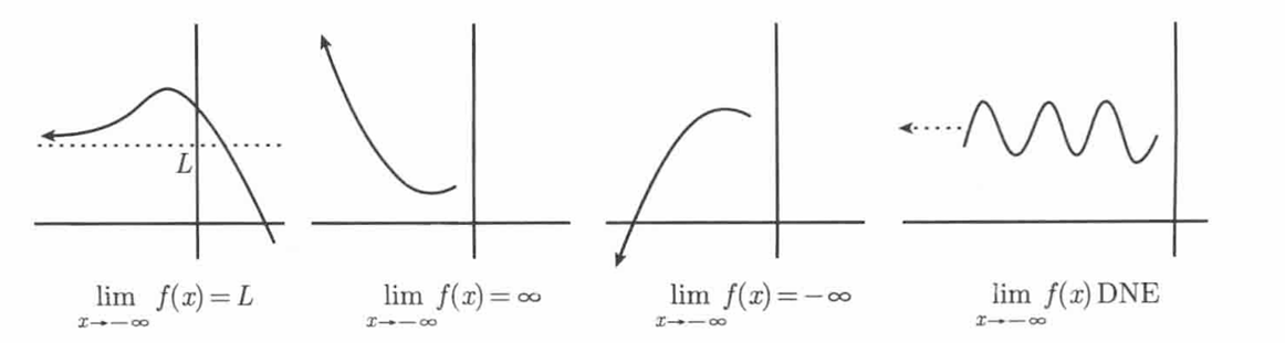
3.4 在 ∞ 和 −∞ 处的极限
含义: \(x\) 变得越来越大(或越来越负)时,\(f(x)\) 趋近的值。
水平渐近线定义
- 右侧渐近线 \(y=L\) ⟺ \(\lim\limits_{x\to\infty}f(x)=L\)
- 左侧渐近线 \(y=M\) ⟺ \(\lim\limits_{x\to-\infty}f(x)=M\)
例子
\(\lim\limits_{x\to\infty}\sin\dfrac1x=0\),因为 \(\dfrac1x\to0\),\(\sin0=0\)。
\(\lim\limits_{x\to\infty}\sin x\) 不存在(永远振荡)。
大 vs 小(重新定义)
- 大数: 绝对值非常大
- 小数: 非常接近 0,但≠0
- 0 不是小数,只是 0
3.5 渐近线的两个常见误解(必纠正)
误解1:水平渐近线左右必须一样
错!可以不一样。
例:\(y=\arctan x\)
\[\lim_{x\to\infty}\arctan x=\frac\pi2,\quad \lim_{x\to-\infty}\arctan x=-\frac\pi2\]
水平渐近线最多两条(左一条、右一条)。
垂直渐近线可以无穷多条(如 \(\tan x\))。
误解2:函数永远不能碰到渐近线
错!水平渐近线可以相交。
例:\(y=\dfrac{\sin x}{x}\) 反复穿过 \(y=0\),但仍是水平渐近线。
3.6 三明治定理(夹逼定理)
定理内容:
若在 \(a\) 附近有:
\[g(x)\le f(x)\le h(x)\]
且:
\[\lim_{x\to a}g(x)=L,\quad \lim_{x\to a}h(x)=L\]
则:
\(\lim\limits_{x\to a}f(x)=L\)
经典例题1:\(\lim\limits_{x\to0^+}x\sin\dfrac1x\)
① 利用 \(-1\le\sin\dfrac1x\le1\)
② 乘 \(x>0\) 得:\(-x\le x\sin\dfrac1x\le x\)
③ \(\lim\limits_{x\to0^+}(-x)=0\),\(\lim\limits_{x\to0^+}x=0\)
④ 由三明治定理:
\(\lim\limits_{x\to0^+}x\sin\dfrac1x=0\)
经典例题2:\(\lim\limits_{x\to\infty}\dfrac{\sin x}{x}\)
① \(-1\le\sin x\le1\Rightarrow -\dfrac1x\le\dfrac{\sin x}{x}\le\dfrac1x\)
② \(\lim\limits_{x\to\infty}(-\dfrac1x)=0\),\(\lim\limits_{x\to\infty}\dfrac1x=0\)
\(\lim\limits_{x\to\infty}\dfrac{\sin x}{x}=0\)
3.7 极限的基本类型小结
- 右极限:只看 \(x=a\) 右侧
- 左极限:只看 \(x=a\) 左侧
- 双侧极限:左右极限必须相等
- ∞ 极限:看右侧水平渐近线
- −∞ 极限:看左侧水平渐近线
- 极限不存在:左右不等 / 趋于无穷 / 无限振荡
本章总结(读透版)
- 极限:\(x\to a\) 但 \(x\neq a\),和 \(f(a)\) 无关
- 双侧极限存在 ⟺ 左右极限都存在且相等
- 极限不存在:左右不等 / 趋于 ∞ / 无限震荡
- 水平渐近线最多两条,可与图像相交
- 垂直渐近线:单侧极限为 ∞ 或 −∞
- 三明治定理是处理震荡型极限的神器
- ∞ 是趋势,不是数;极限是趋势,不是函数值
本章吃透,微积分正式入门!
第4章 求解多项式的极限问题|
本章核心总览(微积分计算核心)
本章专门解决多项式/有理函数的极限,是微积分最基础、最常用的计算技能。
全覆盖内容:
- x→a 时有理函数极限(代入→因式分解→符号判断)
- x→a 时带平方根的极限(共轭有理化)
- x→∞ 时有理函数极限(首项主导法则)
- x→∞ 时多项式型函数极限(根号提取首项)
- x→−∞ 时的极限(注意偶次根号变号)
- 含绝对值的极限(分段去绝对值)
4.1 x→a 时的有理函数极限
有理函数: 多项式 ÷ 多项式,形如 \(\dfrac{p(x)}{q(x)}\)
三步标准解法
- 直接代入 \(x=a\),若分母≠0 → 结果就是函数值
- 若得 \(\dfrac{0}{0}\) 不定式 → 因式分解,约去公因子 \((x-a)\)
- 若得 非0÷0 → 垂直渐近线,判断左右符号
经典例题:\(\lim\limits_{x\to2}\dfrac{x^2-3x+2}{x-2}\)
① 代入得 0/0 → 因式分解
② \(x^2-3x+2=(x-2)(x-1)\)
③ 约去 \((x-2)\),得 \(\lim\limits_{x\to2}(x-1)=1\)
答案:1
立方差公式(必背)
\[a^3-b^3=(a-b)(a^2+ab+b^2)\]
非0÷0 型:判断符号定无穷
看 \(x\to a^+\) 和 \(x\to a^-\) 时分母分子符号,决定 \(+\infty\) 或 \(-\infty\)。
4.2 x→a 时带平方根的极限
遇到 \(\sqrt{A}-B\) 型 → 乘共轭有理化
共轭:\(\sqrt{A}+B\),利用 \((\sqrt{A}-B)(\sqrt{A}+B)=A-B^2\)
例题:\(\lim\limits_{x\to5}\dfrac{\sqrt{x^2-9}-4}{x-5}\)
① 乘共轭 \(\sqrt{x^2-9}+4\)
② 分子变为 \(x^2-9-16=x^2-25=(x-5)(x+5)\)
③ 约去 \(x-5\),代入得 \(\dfrac{10}{8}=\dfrac54\)
答案:5/4
4.3 x→∞ 时的有理函数极限(核心法则)
首项主导法则:x→∞ 时,多项式只看最高次项(首项)
对任意多项式 \(p(x)\):
\[\lim_{x\to\infty}\frac{p(x)}{\text{首项}}=1\]
通用解法:同除以最高次项
1. 找出分子、分母最高次项
2. 分子分母同除以这个最高次项
3. 利用 \(\lim\limits_{x\to\infty}\dfrac{C}{x^n}=0\)(C常数,n>0)
次数判定结论(必背)
- 分子次数 = 分母次数 → 极限 = 首项系数比
- 分子次数 > 分母次数 → 极限 = ∞ 或 −∞
- 分子次数 < 分母次数 → 极限 = 0
4.4 x→∞ 时多项式型函数极限
多项式型:含根号、分数次幂,但趋势像多项式
根号提取首项规则
\(\sqrt{x^{\text{偶数}}}=|x^m|\),x→∞ 时直接取正
例:\(\sqrt{16x^4}=4x^2\),\(\sqrt[3]{27x^6}=3x^2\)
根号差型(∞−∞):仍用共轭
例:\(\sqrt{4x^6-5x^5}-2x^3\) → 乘 \(\sqrt{4x^6-5x^5}+2x^3\)
4.5 x→−∞ 时的极限(最易错点)
核心陷阱:偶次根号开出来必须加绝对值!
当 \(x<0\) 时:
\[\sqrt{x^2}=|x|=-x\]
\[\sqrt{x^4}=x^2,\quad \sqrt{x^6}=-x^3\]
判断口诀
- 开偶次根号 + 出来是奇次幂 → 必须加负号
- 开奇次根号 → 不用变号
- 开偶次根号 + 出来是偶次幂 → 不用变号
例题:\(\lim\limits_{x\to-\infty}\dfrac{\sqrt{4x^6+8}}{2x^3}\)
① \(\sqrt{4x^6}=-2x^3\)(因为x负,6是偶次,3是奇次)
② 极限 = \(\dfrac{-2x^3}{2x^3}=-1\)
答案:−1
4.6 包含绝对值的函数极限
绝对值处理:分段去绝对值符号
\[|A|=\begin{cases}A,&A\ge0\\-A,&A<0\end{cases}\]
标准例题:\(\lim\limits_{x\to0^-}\dfrac{|x|}{x}\)
① \(x\to0^-\) 表示 x 负 → \(|x|=-x\)
② \(\dfrac{|x|}{x}=\dfrac{-x}{x}=-1\)
左极限 = −1,右极限 = 1,双侧极限不存在
平移型:\(\lim\limits_{x\to-2^-}\dfrac{|x+2|}{x+2}\)
x→−2⁻ 时 x+2<0 → \(|x+2|=-(x+2)\),极限 = −1
本章总结(读透版)
- x→a:先代入 → 0/0 因式分解 → 非0/0 判渐近线
- 根号差:一定乘共轭有理化
- x→∞:只看首项,同除最高次,低次项都变0
- 次数比:相等得系数比,上大得无穷,下大得0
- x→−∞:偶次根号开奇次幂必须加负号
- 绝对值:分段讨论,去绝对值再算极限
- 所有极限只看附近趋势,不看该点函数值
本章吃透,所有多项式极限全部秒杀!
第5章 连续性和可导性|
本章核心总览(微积分两大基石)
本章是微积分从“计算”进入“理论”的关键一章,彻底讲清连续与可导。
全覆盖内容:
- 在一点连续 & 在区间连续的严格定义
- 连续函数的三大性质:介值定理、最值定理
- 平均速度 → 瞬时速度 → 导数的来源
- 切线斜率 = 导数的几何意义
- 导数定义式、高阶导数、左右导数
- 可导必连续,但连续不一定可导(核心关系)
5.1 连续性(一笔画到底)
直观理解:函数图像在该点不抬笔、不跳跃、无空洞。
5.1.1 在一点连续的三要素(必须全部满足)
函数 \(f\) 在 \(x=a\) 连续 ⟺ 以下三条同时成立:
- 1. \(\lim\limits_{x\to a}f(x)\) 存在且有限(左右极限相等)
- 2. \(f(a)\) 有定义
- 3. \(\lim\limits_{x\to a}f(x) = f(a)\)(极限=函数值)
\(\boldsymbol{\lim\limits_{x\to a}f(x)=f(a)}\)
5.1.2 在区间上连续
- 开区间 \((a,b)\):每一点都连续
- 闭区间 \([a,b]\):内部连续,左端点右连续,右端点左连续
- 定义域内处处连续 ⟹ 函数连续
5.1.3 常见连续函数(结论)
- ✅ 多项式:处处连续
- ✅ 有理函数:除分母为0点外连续
- ✅ 指数、对数、三角函数:定义域内连续
- ✅ 连续函数的+-×÷、复合:仍连续
经典连续修补函数
\(g(x)=\begin{cases}x\sin\frac1x,&x\neq0\\0,&x=0\end{cases}\)
由三明治定理:\(\lim\limits_{x\to0}x\sin\frac1x=0=g(0)\),故在 \(x=0\) 连续。
5.1.4 介值定理(IVT)
定理:若 \(f\) 在 \([a,b]\) 连续,且 \(f(a)\) 与 \(f(b)\) 异号,则在 \((a,b)\) 内至少存在一点 \(c\) 使得 \(f(c)=0\)。
通用版(中间值M)
若 f(a) < M < f(b),则存在 c∈(a,b) 使 f(c)=M。
必考应用:证明方程有解
例:证明 \(x=\cos x\) 有解
令 \(f(x)=x-\cos x\),\(f(0)=-1<0\),\(f(\frac\pi2)=\frac\pi2>0\)
由介值定理,存在 \(c\in(0,\frac\pi2)\) 使 \(f(c)=0\)。
5.1.5 奇次多项式必有实根
证明思路:
- 奇次多项式首项 \(a_nx^n\),\(n\) 奇
- 当 \(x\to+\infty\) 与 \(x\to-\infty\) 时符号相反
- 由介值定理 ⟹ 必有一点穿过x轴
任意奇次多项式至少有一个实根
5.1.6 最值定理(闭区间连续必有最值)
定理:若 \(f\) 在闭区间 \([a,b]\) 连续,则 \(f\) 在 \([a,b]\) 上一定存在最大值和最小值。
两个关键点
- 必须是闭区间(开区间可能没有最值)
- 必须连续(间断会破坏最值)
5.2 可导性(光滑无尖点)
直观理解:图像在该点光滑、无尖、不垂直,有唯一切线。
5.2.1~5.2.3 从物理引出导数
平均速度 = \(\dfrac{\text{位移}}{\text{时间}}\)
瞬时速度 = 平均速度当时间间隔→0的极限
瞬时速度 = 位置函数的导数
5.2.5~5.2.6 导数定义(核心公式)
导数 = 切线斜率
\[f'(x)=\lim_{h\to0}\frac{f(x+h)-f(x)}{h}\]
等价形式:
\[f'(x)=\lim_{z\to x}\frac{f(z)-f(x)}{z-x}\]
导数记号
\(f'(x)\),\(y’\),\(\dfrac{dy}{dx}\),\(\dfrac{d}{dx}f(x)\)
5.2.7 导数的意义:微小变化倍率
\(\dfrac{dy}{dx}\approx\dfrac{\Delta y}{\Delta x}\)
x 微小变化 → y 变化约为 \(f'(x)\cdot\Delta x\)
5.2.8 简单函数求导
常数函数:\((C)’=0\)
一次函数:\((mx+b)’=m\)
二次函数:\((x^2)’=2x\)
5.2.9 高阶导数
一阶:\(f'(x)\),\(\dfrac{dy}{dx}\)
二阶:\(f”(x)\),\(\dfrac{d^2y}{dx^2}\)
三阶:\(f”'(x)\),\(\dfrac{d^3y}{dx^3}\)
n阶:\(f^{(n)}(x)\)
5.2.10 导数不存在的三种情况
- ① 尖点 / 角点:\(y=|x|\) 在 \(x=0\)
- ② 垂直切线:斜率无穷大
- ③ 不连续点:间断一定不可导
经典例子:\(y=|x|\)
右导数=1,左导数=-1 ⇒ 不相等 ⇒ 不可导
5.2.11 可导性与连续性的关系(最重要结论)
定理: 若 \(f\) 在 \(x\) 可导 ⇒ \(f\) 在 \(x\) 必连续
逆命题不成立: 连续 ≠> 可导(如 \(y=|x|\))
证明思路(逻辑)
可导 ⇒ \(\lim\limits_{h\to0}\frac{f(x+h)-f(x)}{h}\) 存在
⇒ \(\lim\limits_{h\to0}[f(x+h)-f(x)]=0\)
⇒ \(\lim\limits_{h\to0}f(x+h)=f(x)\) ⇒ 连续
本章总结(读透版)
- 连续:极限 = 函数值,图像不断
- 闭区间连续 ⇒ 介值定理 + 最值定理
- 导数:瞬时变化率 = 切线斜率,由极限定义
- 可导 ⇒ 光滑;尖点、垂直、间断都不可导
- 可导必连续,连续未必可导
- 多项式、指数、三角、对数在定义域内都连续可导
本章吃透,微积分正式入门!
第6章 求解微分问题|
本章核心总览(微分计算全攻略)
本章是微积分求导计算的核心章节,把所有求导技巧一次性讲透。
全覆盖内容:
- 用定义求导(极限法)
- 幂函数求导公式(任意实数次幂)
- 四则运算求导:常数倍、加减、乘积、商法则
- 复合函数求导:链式法则(最重要)
- 求切线方程、速度与加速度
- 导数伪装的极限(识别+秒解)
- 分段函数求导(连续+可导检验)
- 由原函数图像画导函数图像
6.1 使用定义求导(基础极限法)
导数定义:
\[f'(x)=\lim_{h\to0}\frac{f(x+h)-f(x)}{h}\]
例题1:\(f(x)=\dfrac1x\) 的导数
\[ f'(x)=\lim_{h\to0}\frac{\dfrac{1}{x+h}-\dfrac1x}{h} =\lim_{h\to0}\frac{-h}{hx(x+h)} =\lim_{h\to0}\frac{-1}{x(x+h)}=-\frac1{x^2} \]
\(\boldsymbol{\dfrac{d}{dx}\left(\dfrac1x\right)=-\dfrac1{x^2}}\)
例题2:\(f(x)=\sqrt{x}\) 的导数
乘共轭有理化:
\[ f'(x)=\lim_{h\to0}\frac{\sqrt{x+h}-\sqrt{x}}{h} =\lim_{h\to0}\frac{1}{\sqrt{x+h}+\sqrt{x}}=\frac1{2\sqrt{x}} \]
\(\boldsymbol{\dfrac{d}{dx}\sqrt{x}=\dfrac1{2\sqrt{x}}}\)
幂函数通用公式(核心)
对任意实数 \(a\):
\[ \frac{d}{dx}(x^a)=a x^{a-1} \]
- 整数:\((x^n)’=nx^{n-1}\)
- 分数:\((\sqrt{x})’=(x^{1/2})’=\frac12x^{-1/2}\)
- 负数:\((x^{-1})’=-x^{-2}\)
6.2 求导运算法则(全套必背)
6.2.1 常数倍法则
\[(k\cdot f(x))’ = k\cdot f'(x)\]
6.2.2 加减法则
\[(f\pm g)’ = f’\pm g’\]
6.2.3 乘积法则(乘法)
\[(fg)’ = f’g + fg’\]
三项乘积:
\[(uvw)’ = u’vw + uv’w + uvw’\]
6.2.4 商法则(除法)
\[\left(\frac{f}{g}\right)’=\frac{f’g-fg’}{g^2}\]
6.2.5 链式求导法则(复合函数,最重要)
形式1(函数版):
\[\big(f(g(x))\big)’ = f'(g(x))\cdot g'(x)\]
形式2(微分版):
\[\frac{dy}{dx}=\frac{dy}{du}\cdot\frac{du}{dx}\]
多层链式
\[y=F(G(H(x))) \implies \frac{dy}{dx}=F'(G(H))\cdot G'(H)\cdot H'(x)\]
6.3 求切线方程(标准三步法)
步骤:
- 求导得斜率 \(m=f'(x_0)\)
- 求切点 \((x_0,f(x_0))\)
- 点斜式:\(y-y_0=m(x-x_0)\)
例题
\(y=(x^3-7)^{50}\) 在 \(x=2\) 处切线
① \(y’=150x^2(x^3-7)^{49}\quad \Rightarrow\quad y'(2)=600\)
② 切点 \((2,1)\)
③ 方程:\(y=600x-1199\)
6.4 速度与加速度(物理意义)
位置:\(x(t)\)
速度:\(v(t)=x'(t)=\dfrac{dx}{dt}\)
加速度:\(a(t)=v'(t)=x”(t)=\dfrac{d^2x}{dt^2}\)
竖直上抛运动公式
加速度:\(a=-g\)
速度:\(v(t)=-gt+u\)
位置:\(x(t)=-\dfrac12gt^2+ut+h\)
\(u=\)初速度,\(h=\)初高度
6.5 导数伪装的极限(秒解技巧)
识别特征:
\[\lim_{h\to0}\frac{f(x_0+h)-f(x_0)}{h}=f'(x_0)\]
经典例题
\[\lim_{h\to0}\frac{\sqrt[5]{32+h}-2}{h}\]
令 \(f(x)=\sqrt[5]{x}\),则 \(f'(x)=\dfrac15x^{-4/5}\)
原式 = \(f'(32)=\dfrac15\cdot\dfrac{1}{16}=\dfrac1{80}\)
看到这种结构 → 直接看成导数!
6.6 分段函数求导(两步检验)
分段点 \(x=a\) 可导 ⟺ 同时满足:
- 在 \(x=a\) 连续:左极限 = 右极限 = 函数值
- 在 \(x=a\) 左右导数相等
绝对值分段技巧
\[|A|=\begin{cases}A,&A\ge0\\-A,&A<0\end{cases}\]
先去绝对值写成分段函数,再求导。
6.7 由原函数图像画导函数图像(直观法)
核心:导数 = 斜率
- 原函数上升 ⇒ \(f’>0\)
- 原函数下降 ⇒ \(f’<0\)
- 原函数水平 ⇒ \(f’=0\)(零点)
- 原函数越陡 ⇒ \(|f’|\) 越大
- 原函数直线段 ⇒ \(f’\) 是常数
- 原函数垂直渐近线 ⇒ \(f’\) 同位置渐近线
本章总结(读透版)
- 定义求导:通分、有理化、消去 \(h\) 再代0
- 幂函数求导:指数提前、次数减1
- 乘法:前导后不导 + 后导前不导
- 除法:上导下不导 − 下导上不导,再除下方平方
- 链式法则:由外到内层层求导再相乘
- 切线方程:求斜率 → 找切点 → 点斜式
- 物理:位置导=速度,速度导=加速度
- 极限伪装:看到差商结构 → 直接当导数算
- 分段函数:先连续、再左右导数相等
- 画图:导数=斜率,升降定正负,陡缓定大小
本章吃透,所有微分计算全部秒杀!
第7章 三角函数的极限和导数|
本章核心总览
本章专门攻克三角函数极限与三角函数求导,是微积分计算的高频重点。
全覆盖内容:
- 小数极限:\(\boldsymbol{\lim\limits_{x\to0}\dfrac{\sin x}{x}=1}\)(核心公式)
- 大数极限:有界×无穷小 → 0(三明治定理)
- 一般点极限:换元转化为小数情况
- 六大三角函数求导公式(必背)
- 复合三角函数求导(链式法则)
- 简谐运动:位移→速度→加速度
- 连续可导但导数不连续的经典函数
7.1 三角函数的极限(三大类)
处理三角极限必须先判断:小数情况 或 大数情况 或 一般点。
7.1.1 小数情况(\(x\to0\))【最重要】
核心基本极限(全书必考):
\(\boldsymbol{\lim\limits_{x\to0}\dfrac{\sin x}{x}=1}\)
配套极限:
\(\lim\limits_{x\to0}\cos x=1\)
\(\lim\limits_{x\to0}\dfrac{\tan x}{x}=1\)
\(\lim\limits_{x\to0}\dfrac{1-\cos x}{x}=0\)
\(\lim\limits_{x\to0}\dfrac{1-\cos x}{x^2}=\dfrac12\)
7.1.2 小数极限通用技巧(匹配原则)
通用规则:
\(\boldsymbol{\lim\limits_{(\cdot)\to0}\dfrac{\sin(\text{小数})}{\text{同样的小数}}=1}\)
- 分子分母的“小数”必须完全一样
- 缺什么就乘什么,多什么就除什么
例题:\(\lim\limits_{x\to0}\dfrac{\sin5x}{x}\)
\(\lim\limits_{x\to0}\dfrac{\sin5x}{5x}\cdot5 = 1\cdot5 = 5\)
例题:\(\lim\limits_{x\to0}\dfrac{\sin^3 2x}{x\tan5x^2}\)
拆成标准形式 → 全部→1 → 系数运算得 \(\dfrac85\)
7.1.3 大数情况(\(x\to\infty\))
核心性质:
\(-1\le\sin(\text{任意})\le1,\quad -1\le\cos(\text{任意})\le1\)
结论:
\(\boldsymbol{\lim\limits_{x\to\infty}\dfrac{\sin(\text{任何})}{x^\alpha}=0,\quad \alpha>0}\)
典型例题
\(\lim\limits_{x\to\infty}\dfrac{\sin x}{x}=0\)
\(\lim\limits_{x\to0}x\sin\dfrac1x=0\)(有界×无穷小)
\(\lim\limits_{x\to\infty}x\sin\dfrac5x = 5\)(换元看成小数情况)
7.1.4 一般点极限(\(x\to a,a\neq0\))
万能方法:换元 \(t=x-a\),转化为 \(t\to0\)。
例题:\(\lim\limits_{x\to\pi/2}\dfrac{\cos x}{x-\pi/2}\)
令 \(t=x-\pi/2\),则 \(\cos x=\cos(\pi/2+t)=-\sin t\)
原式=\(\lim\limits_{t\to0}\dfrac{-\sin t}{t}=-1\)
7.1.5 重要极限证明(几何法)
利用面积不等式:
\(\sin x < x < \tan x\quad (0 同除 \(\sin x\): \(1<\dfrac{x}{\sin x}<\dfrac1{\cos x}\) 取倒数并由三明治定理: \(\lim\limits_{x\to0}\dfrac{\sin x}{x}=1\)
7.2 三角函数的导数(六大公式必背)
由定义推导,利用 \(\lim\limits_{h\to0}\dfrac{\sin h}{h}=1\) 与 \(\lim\limits_{h\to0}\dfrac{1-\cos h}{h}=0\)。
| 函数 | 导数 | 符号规律 |
|---|---|---|
| \(\sin x\) | \(\cos x\) | 正 |
| \(\cos x\) | \(-\sin x\) | 负 |
| \(\tan x\) | \(\sec^2 x\) | 正 |
| \(\cot x\) | \(-\csc^2 x\) | 负 |
| \(\sec x\) | \(\sec x\tan x\) | 正 |
| \(\csc x\) | \(-\csc x\cot x\) | 负 |
带“co-”的函数求导都带负号!
7.2.1 复合三角函数求导(链式法则)
通用形式:
\((\sin u)’ = \cos u \cdot u’\)
\((\cos u)’ = -\sin u \cdot u’\)
\((\tan u)’ = \sec^2 u \cdot u’\)
快速结论(常数倍数)
\(\dfrac d{dx}\sin(ax)=a\cos(ax)\)
\(\dfrac d{dx}\cos(ax)=-a\sin(ax)\)
7.2.2 简谐运动(物理应用)
典型位移:\(x=A\sin(\omega t)\)
速度:\(v=x’=A\omega\cos(\omega t)\)
加速度:\(a=v’=x”=-A\omega^2\sin(\omega t)\)
\(\boldsymbol{a=-\omega^2 x}\)(加速度与位移反向)
7.2.3 经典特殊函数:连续可导但导数不连续
函数:
\[f(x)=\begin{cases}x^2\sin\dfrac1x,&x\neq0\\0,&x=0\end{cases}\]
结论:
- 处处连续
- 处处可导,\(f'(0)=0\)
- 但 \(\lim\limits_{x\to0}f'(x)\) 不存在
- 即:可导 ≠> 导函数连续
本章总结(读透版)
- 小数极限:\(\dfrac{\sin\text{小}}{\text{小}}\to1\),必须严格匹配
- 大数极限:\(\sin/\cos\) 有界,除以无穷大→0
- 一般点极限:换元 \(t=x-a\) 转小数
- 六大三角求导公式,带co-的加负号
- 复合函数:链式法则一层一层求导
- 简谐运动:二阶导 = −ω²·位移
- 重要反例:可导函数的导数可以不连续
本章吃透,三角极限与求导全部通关!
第8章 隐函数求导和相关变化率|
本章核心总览
本章是微积分求导进阶核心,解决无法显式表达 \(y=f(x)\) 的求导问题,以及物理/几何中的相关变化率应用。
全覆盖内容:
- 隐函数求导法则(对 \(x\) 求导,\(y\) 看作 \(x\) 的函数)
- 链式法则在隐函数中的应用:\(\dfrac{d}{dx}(y^2)=2y\cdot\dfrac{dy}{dx}\)
- 隐函数求一阶导、二阶导
- 切线方程(隐函数定点求斜率)
- 相关变化率标准四步法
- 球体、汽车距离、圆锥水罐、飞机跳伞经典例题
8.1 隐函数求导(核心法则)
核心思想:
1. 把 \(y\) 看作 \(x\) 的函数;
2. 等式两边同时对 \(x\) 求导;
3. 遇到 \(y\) 的表达式,必须乘 \(\boldsymbol{\dfrac{dy}{dx}}\)(链式法则)。
最基础公式(必须背)
\(\dfrac{d}{dx}\big(y\big)=\dfrac{dy}{dx}\)
\(\dfrac{d}{dx}\big(y^2\big)=2y\cdot\dfrac{dy}{dx}\)
\(\dfrac{d}{dx}\big(\sin y\big)=\cos y\cdot\dfrac{dy}{dx}\)
\(\dfrac{d}{dx}\big(\cos y\big)=-\sin y\cdot\dfrac{dy}{dx}\)
8.1.1 隐函数求导标准步骤(万能)
- 方程两边同时对 \(x\) 求导
- 对 \(y\) 的函数求导时,一定乘 \(\dfrac{dy}{dx}\)
- 将含 \(\dfrac{dy}{dx}\) 的项移到左边,其余移到右边
- 提取 \(\dfrac{dy}{dx}\) 并解出
- 若求定点斜率:先代值再化简(更简单)
经典例题:\(x^2+y^2=4\) 求 \(\dfrac{dy}{dx}\)
两边求导:\(2x + 2y\dfrac{dy}{dx}=0\)
整理得:\(\dfrac{dy}{dx}=-\dfrac{x}{y}\)
圆上任意点斜率:\(\boldsymbol{-\dfrac{x}{y}}\)
8.1.1 复杂隐函数例题(三角+乘积+商)
例题:\(y\cot x=3\csc y + x^7\)
左边乘积求导:\(\cot x \cdot \dfrac{dy}{dx} – y\csc^2x\)
右边求导:\(-3\csc y\cot y \cdot \dfrac{dy}{dx} + 7x^6\)
移项合并:
\(\dfrac{dy}{dx}\big(\cot x + 3\csc y\cot y\big) = y\csc^2x + 7x^6\)
结果:
\(\boldsymbol{\dfrac{dy}{dx}=\dfrac{y\csc^2x + 7x^6}{\cot x + 3\csc y\cot y}}\)
8.1.2 隐函数二阶导数(求两次)
步骤:
- 先求一阶导,得到 \(\dfrac{dy}{dx}\)
- 对一阶导等式再次对 \(x\) 求导
- 遇到 \(\dfrac{dy}{dx}\) 直接保留,遇到 \(y\) 仍乘 \(\dfrac{dy}{dx}\)
- 代入已知点的 \(x,y,\dfrac{dy}{dx}\),解出 \(\dfrac{d^2y}{dx^2}\)
关键区分:
\(\left(\dfrac{dy}{dx}\right)^2\):一阶导平方
\(\dfrac{d^2y}{dx^2}\):二阶导(真正凹凸性)
8.2 相关变化率(应用题核心)
定义: 几个变量随时间 \(t\) 变化,已知一部分变化率,求另一部分。
标准四步法(全书固定)
- 设定变量(距离、体积、高度等)
- 写出几何/代数方程关联所有变量
- 两边对 \(t\) 隐函数求导(得到变化率关系)
- 代入已知值,解出未知变化率
⚠️ 必须先求导,再代值!
8.2.1 经典例题1:球体充气
球体体积:\(V=\dfrac43\pi r^3\)
对 \(t\) 求导:\(\dfrac{dV}{dt}=4\pi r^2 \cdot \dfrac{dr}{dt}\)
已知 \(\dfrac{dV}{dt}=12\pi\),\(r=2\):
\(12\pi=4\pi\cdot4\cdot\dfrac{dr}{dt}\implies\dfrac{dr}{dt}=\dfrac34\)
半径变化率:\(\boldsymbol{\dfrac34}\) 英寸/秒
8.2.2 经典例题2:两车距离变化
勾股定理:\(a^2+b^2=c^2\)
求导:\(2a\dfrac{da}{dt}+2b\dfrac{db}{dt}=2c\dfrac{dc}{dt}\)
靠近为负,远离为正:
\(\dfrac{da}{dt}=55,\ \dfrac{db}{dt}=-45\)
代入 \(a=21,b=28,c=35\):
\(\boldsymbol{\dfrac{dc}{dt}=-3}\) 英里/小时(距离在缩短)
8.2.3 经典例题3:圆锥水罐(相似三角形)
相似:\(h=2r\implies r=\dfrac h2\)
体积:\(v=\dfrac13\pi r^2h=\dfrac{\pi h^3}{12}\)
求导:\(\dfrac{dv}{dt}=\dfrac{\pi h^2}{4}\cdot\dfrac{dh}{dt}\)
代入 \(v=18\pi\implies h=6\),\(\dfrac{dv}{dt}=8\pi\)
\(\boldsymbol{\dfrac{dh}{dt}=\dfrac89}\) 英尺/秒(水位上升)
8.2.4 经典例题4:飞机与跳伞员(角度变化率)
角度关系:\(\theta=\beta-\alpha\)
三角关系:
\(\tan\alpha=\dfrac{2000}{p},\quad \tan\beta=\dfrac{h}{1000}\)
求导后得到:
\(\sec^2\alpha\dfrac{d\alpha}{dt}=-\dfrac{2000}{p^2}\dfrac{dp}{dt}\)
\(\sec^2\beta\dfrac{d\beta}{dt}=\dfrac{1}{1000}\dfrac{dh}{dt}\)
最终:
\(\boldsymbol{\dfrac{d\theta}{dt}=\dfrac{27}{2125}}\) 弧度/秒
本章总结(读透版)
- 隐函数求导:对 \(x\) 求导,\(y\) 项必乘 \(\dfrac{dy}{dx}\)
- 求斜率:先代定点值,再解 \(\dfrac{dy}{dx}\)(更简单)
- 二阶导:求两次导,保留 \(\dfrac{dy}{dx}\),最后代值
- 相关变化率:四步法 → 列方程 → 对 \(t\) 求导 → 代值
- 符号规则:增加为正,减少为负(极易扣分)
- 几何常用:勾股定理、相似三角形、圆/球/圆锥公式
本章吃透,隐函数与变化率题型全部通关!
第9章 指数与对数函数|
本章核心总览
本章是微积分必考核心函数:指数函数与对数函数,覆盖极限、求导、复合、方程与不等式。
全覆盖内容:
- 指数函数定义、图像、极限行为
- 对数函数定义、运算法则、换底公式
- 指数与对数的极限(\(x\to0,\infty\))
- 指数/对数函数求导公式(必背)
- 复合函数、乘积、商的求导
- 对数微分法(复杂连乘/商/幂指函数)
- 指数增长/衰减模型
9.1 指数函数基础
形式:\(y=a^x\)(\(a>0,a\neq1\))
自然底数:\(e\)
\[e=\lim_{x\to0}(1+x)^{\frac1x}\approx2.71828\]
指数函数图像性质
- \(a>1\):单调递增,过 \((0,1)\),\(x\to-\infty\to0\)
- \(0
- 定义域:\(\mathbb{R}\),值域:\((0,+\infty)\)
9.2 对数函数基础
定义:\(y=\log_a x\iff a^y=x\)
自然对数:\(\ln x=\log_e x\)
常用对数:\(\lg x=\log_{10}x\)
对数运算法则(必背)
\(\ln(ab)=\ln a+\ln b\)
\(\ln\left(\dfrac{a}{b}\right)=\ln a-\ln b\)
\(\ln(a^b)=b\ln a\)
\(\ln1=0,\quad \ln e=1\)
换底公式
\[\log_a b=\frac{\ln b}{\ln a}\]
9.3 指数与对数的极限(必考)
指数极限
\(\lim\limits_{x\to\infty}e^x=\infty,\quad \lim\limits_{x\to-\infty}e^x=0\)
\(\lim\limits_{x\to0}e^x=1\)
对数极限
\(\lim\limits_{x\to+\infty}\ln x=+\infty\)
\(\lim\limits_{x\to0^+}\ln x=-\infty\)
\(\lim\limits_{x\to1}\ln x=0\)
增长速度比较
指数 > 幂函数 > 对数(\(x\to\infty\))
9.4 指数与对数求导公式(全书核心)
| 函数 | 导数 | 备注 |
|---|---|---|
| \(e^x\) | \(e^x\) | 导数等于自身 |
| \(a^x\) | \(a^x\ln a\) | 乘 \(\ln a\) |
| \(\ln x\) | \(\dfrac1x\) | 最常用 |
| \(\log_a x\) | \(\dfrac{1}{x\ln a}\) | 换底可推 |
复合链式法则
\((e^{u})’ = e^u \cdot u’\)
\((\ln u)’ = \dfrac1u \cdot u’\)
9.5 典型求导例题(全覆盖)
例题1:\(y=e^{x^2+3x}\)
\(y’=e^{x^2+3x}\cdot(2x+3)\)
例题2:\(y=\ln(\sin x)\)
\(y’=\dfrac{1}{\sin x}\cdot\cos x=\cot x\)
例题3:\(y=x^2\ln x\)(乘积)
\(y’=2x\ln x + x^2\cdot\dfrac1x=2x\ln x+x\)
例题4:\(y=\dfrac{e^x}{\ln x}\)(商)
\(y’=\dfrac{e^x\ln x – e^x\cdot\dfrac1x}{(\ln x)^2}\)
9.6 对数微分法(复杂函数必杀)
适用:连乘、连除、幂指函数 \(u^v\)
步骤
- 两边取自然对数:\(\ln y=\ln(\dots)\)
- 利用对数法则展开(变乘除为加减)
- 两边隐函数求导:\(\dfrac1y y’=\dots\)
- 解出 \(y’=y\times(\dots)\)
例题:\(y=\dfrac{(x+1)(x+2)}{(x+3)(x+4)}\)
取对数:\(\ln y=\ln(x+1)+\ln(x+2)-\ln(x+3)-\ln(x+4)\)
求导:\(\dfrac{y’}{y}=\dfrac{1}{x+1}+\dfrac{1}{x+2}-\dfrac{1}{x+3}-\dfrac{1}{x+4}\)
结果:\(y’=y\left(\dfrac{1}{x+1}+\dfrac{1}{x+2}-\dfrac{1}{x+3}-\dfrac{1}{x+4}\right)\)
9.7 幂指函数求导 \(y=u^v\)
两种方法:
1. 写成指数:\(y=e^{v\ln u}\) 再求导
2. 对数微分法
公式(直接用):
\[(u^v)’ = v u^{v-1} u’ + u^v \ln u \cdot v’\]
9.8 指数增长与衰减(物理/应用)
模型:\(y(t)=y_0 e^{kt}\)
- \(k>0\):指数增长
- \(k<0\):指数衰减
- \(y_0\):初始量
半衰期/倍增时间
半衰期:\(y=y_0/2\) 解 \(t\)
倍增时间:\(y=2y_0\) 解 \(t\)
第9章 全书总结(读透版)
- 指数:\(e^x\) 导数是自己;\(a^x\) 导数乘 \(\ln a\)
- 对数:\(\ln x\) 导数 \(1/x\);复合必用链式
- 极限:指数增长最快,对数最慢
- 复杂乘除/幂指函数:优先用对数微分法
- 公式:\(\ln(ab)=\ln a+\ln b\),\(\ln a^b=b\ln a\) 贯穿全章
- 应用:增长/衰减统一用 \(y=y_0 e^{kt}\)
本章吃透,指数对数所有题型全部通关!
第10章 反函数和反三角函数|
本章核心总览
本章是微积分反函数与反三角的完整体系,是求导、积分、极限的高频考点。
全覆盖内容:
- 用导数判断函数是否存在反函数
- 反函数导数公式(核心)
- 6个反三角函数:定义、定义域、值域、图像、导数
- 反三角函数化简与计算
- 反双曲函数与导数
10.1 导数与反函数
10.1.1 用导数证明反函数存在
若 \(f(x)\) 在区间上满足以下任一条件,则存在反函数:
- ① \(\forall x,\ f'(x)>0\)(严格递增)
- ② \(\forall x,\ f'(x)<0\)(严格递减)
- ③ \(f'(x)\ge0\) 且仅有限点为0
- ④ \(f'(x)\le0\) 且仅有限点为0
只要不恒为0,就满足水平线检验。
10.1.3 反函数的导数(全书核心公式)
设 \(y=f^{-1}(x)\),则 \(f(y)=x\),两边隐函数求导:
\(\boldsymbol{\dfrac{dy}{dx}=\dfrac{1}{f'(y)}=\dfrac{1}{f’\big(f^{-1}(x)\big)}}\)
记忆:反函数导数 = 原函数导数的倒数,自变量用反函数代回。
例题
已知 \(f(4)=-16,\ f'(4)=40\),求 \((f^{-1})'(-16)\)
\((f^{-1})'(-16)=\dfrac{1}{f'(4)}=\dfrac{1}{40}\)
10.2 反三角函数(6大函数全表格)
| 函数 | 定义域 | 值域(主值) | 导数公式 | 奇偶 |
|---|---|---|---|---|
| \(y=\arcsin x\) | \([-1,1]\) | \([-\frac{\pi}{2},\frac{\pi}{2}]\) | \(\dfrac{1}{\sqrt{1-x^2}}\) | 奇 |
| \(y=\arccos x\) | \([-1,1]\) | \([0,\pi]\) | \(-\dfrac{1}{\sqrt{1-x^2}}\) | 非奇非偶 |
| \(y=\arctan x\) | \(\mathbb{R}\) | \((-\frac{\pi}{2},\frac{\pi}{2})\) | \(\dfrac{1}{1+x^2}\) | 奇 |
| \(y=\text{arccot}\,x\) | \(\mathbb{R}\) | \((0,\pi)\) | \(-\dfrac{1}{1+x^2}\) | 非奇非偶 |
| \(y=\text{arcsec}\,x\) | \(|x|\ge1\) | \([0,\pi]-\{\frac{\pi}{2}\}\) | \(\dfrac{1}{|x|\sqrt{x^2-1}}\) | 非奇非偶 |
| \(y=\text{arccsc}\,x\) | \(|x|\ge1\) | \([-\frac{\pi}{2},\frac{\pi}{2}]-\{0\}\) | \(-\dfrac{1}{|x|\sqrt{x^2-1}}\) | 奇 |
10.2.1 反正弦函数 \(\arcsin x\)
限制定义域:\(y=\sin x,\ x\in[-\frac{\pi}{2},\frac{\pi}{2}]\)
求导推导:
\(x=\sin y \Rightarrow 1=\cos y\cdot y’\Rightarrow y’=\dfrac{1}{\cos y}\)
\(\cos y=\sqrt{1-x^2}\)(因 \(y\in[-\frac{\pi}{2},\frac{\pi}{2}],\ \cos y\ge0\))
\(\boldsymbol{(\arcsin x)’=\dfrac{1}{\sqrt{1-x^2}}}\)
10.2.2 反余弦函数 \(\arccos x\)
限制定义域:\(y=\cos x,\ x\in[0,\pi]\)
重要恒等式:
\(\boldsymbol{\arcsin x+\arccos x=\dfrac{\pi}{2}}\)
导数:
\(\boldsymbol{(\arccos x)’=-\dfrac{1}{\sqrt{1-x^2}}}\)
10.2.3 反正切函数 \(\arctan x\)
限制定义域:\(y=\tan x,\ x\in(-\frac{\pi}{2},\frac{\pi}{2})\)
极限:
\(\lim\limits_{x\to\infty}\arctan x=\frac{\pi}{2},\quad \lim\limits_{x\to-\infty}\arctan x=-\frac{\pi}{2}\)
导数:
\(\boldsymbol{(\arctan x)’=\dfrac{1}{1+x^2}}\)
10.2.6 反三角函数化简(必考技巧)
1. 内层是周期函数:先化到主值区间再抵消
例:\(\arcsin\big(\sin\frac{13\pi}{10}\big)=\arcsin\big(-\sin\frac{3\pi}{10}\big)=-\frac{3\pi}{10}\)
2. 混合三角:用 \(\sin^2\alpha+\cos^2\alpha=1\)
例:\(\sin\big(\arccos\frac{\sqrt{15}}{4}\big)=\frac{1}{4}\)
10.3 反双曲函数(全书收尾)
核心公式
\(\sinh^{-1}x=\ln\big(x+\sqrt{x^2+1}\big)\)
\(\cosh^{-1}x=\ln\big(x+\sqrt{x^2-1}\big)\ (x\ge1)\)
导数
\((\sinh^{-1}x)’=\dfrac{1}{\sqrt{x^2+1}}\)
\((\cosh^{-1}x)’=\dfrac{1}{\sqrt{x^2-1}}\)
\((\tanh^{-1}x)’=\dfrac{1}{1-x^2}\)
第10章 全书总结(读透版)
- 导数定号 → 严格单调 → 存在反函数
- 反函数导数:\((f^{-1})'(x)=\dfrac{1}{f'(f^{-1}(x))}\)
- 反三角6大函数:定义域、值域、导数必须背熟
- 关键恒等式:\(\arcsin x+\arccos x=\frac{\pi}{2}\)
- 化简:先化到主值区间,再用三角恒等式
- 反双曲可由指数/对数表示,导数形式简洁
本章吃透,反函数与反三角函数全部通关!
第11章 导数和图像|
本章核心总览
本章是导数应用的核心,用一阶导判断单调性与极值,二阶导判断凹凸性与拐点,是画图与解题的基础。
全覆盖内容:
- 全局极值 vs 局部极值
- 临界点定义与极值定理
- 闭区间全局最值五步解法
- 罗尔定理、中值定理(微积分基石)
- 二阶导与凹凸性、拐点判定
- 临界点分类:一阶导符号法 & 二阶导判别法
11.1 函数的极值
11.1.1 全局极值 vs 局部极值
- 全局最大/最小:整个定义域上最高/最低点
- 局部最大/最小:某点附近小范围内最高/最低点
- 全局极值一定是局部极值,反之不成立
11.1.2 临界点与极值定理
临界点: \(f'(c)=0\) 或 \(f'(c)\) 不存在的点
极值定理:
开区间内局部极值必是临界点
闭区间内局部极值:临界点 或 端点
11.1.3 闭区间全局最值(五步万能法)
- 求 \(f'(x)\),找出 \((a,b)\) 内所有临界点
- 把端点 \(a,b\) 加入列表
- 计算列表中所有点的函数值
- 最大值 = 全局最大值
- 最小值 = 全局最小值
只算临界点和端点,直接比大小!
11.2 罗尔定理
条件:
- \(f(x)\) 在 \([a,b]\) 连续
- \(f(x)\) 在 \((a,b)\) 可导
- \(f(a)=f(b)\)
结论: 至少存在一点 \(c\in(a,b)\),使得 \(f'(c)=0\)
直观: 两端同高,中间必有水平切线
用于证明方程有解、函数有零点
11.3 中值定理(MVT)
条件:
- \(f(x)\) 在 \([a,b]\) 连续
- \(f(x)\) 在 \((a,b)\) 可导
结论:
\(\boldsymbol{\exists c\in(a,b),\ f'(c)=\dfrac{f(b)-f(a)}{b-a}}\)
直观: 平均速度 = 某点瞬时速度
中值定理 ⇒ 罗尔定理(令 \(f(a)=f(b)\))
中值定理三大推论(必背)
- 若 \(f'(x)=0\) ⇒ \(f(x)=C\)(常数)
- 若 \(f'(x)=g'(x)\) ⇒ \(f(x)=g(x)+C\)
- 若 \(f'(x)>0\) ⇒ \(f(x)\) 递增;\(f'(x)<0\) ⇒ 递减
11.4 二阶导数与图像(凹凸性+拐点)
凹凸性判定
- \(f”(x)>0\) ⇒ 凹向上(碗状,斜率递增)
- \(f”(x)<0\) ⇒ 凹向下(帽状,斜率递减)
拐点定义
凹凸性发生改变的点
必要条件: \(f”(c)=0\)
充分条件: \(f”(x)\) 在 \(c\) 两侧变号
二阶导=0不一定是拐点,必须变号!
11.5 临界点分类(\(f'(c)=0\))
方法1:一阶导数符号法(万能)
- 左正右负 ⇒ 局部最大值
- 左负右正 ⇒ 局部最小值
- 左右不变号 ⇒ 水平拐点
方法2:二阶导数判别法(快速)
- \(f”(c)<0\) ⇒ 局部最大值(凹向下)
- \(f”(c)>0\) ⇒ 局部最小值(凹向上)
- \(f”(c)=0\) ⇒ 失效,必须用方法1
11.5 经典例题:\(f(x)=x\ln x\)
① 求导:\(f'(x)=\ln x + 1\)
② 临界点:\(\ln x +1=0 \Rightarrow x=\dfrac1e\)
③ 二阶导:\(f”(x)=\dfrac1x>0\)(\(x>0\))
④ 结论:\(x=\dfrac1e\) 为局部最小值
最小值:\(f\left(\dfrac1e\right)=-\dfrac1e\)
第11章 全书总结(读透版)
- 极值只出现在临界点或端点
- 闭区间最值:算临界点+端点,比大小
- 罗尔定理:两端等高 ⇒ 中间有水平切线
- 中值定理:平均变化率 = 某点瞬时变化率
- 一阶导定增减,二阶导定凹凸
- 拐点:二阶导=0且两侧变号
- 临界点分类:一阶看符号,二阶看凹凸
本章吃透,导数画图与极值题型全部通关!
第12章 绘制函数图像|
本章核心总览
本章是微积分作图终极方法,用极限、一阶导、二阶导系统画出标准函数图像,是考试与理解函数的最强工具。
全覆盖内容:
- 符号表格法(函数值、一阶导、二阶导)
- 绘制函数图像11步标准流程
- 4类经典例题完整作图:有理函数、对数函数、多项式、指数函数
- 渐近线、截距、单调性、凹凸性、极值、拐点全套分析
12.1 符号表格法(核心工具)
12.1.1 函数值符号表格(正负)
- 找出所有零点与不连续点
- 按从小到大排序
- 每个区间取测试点
- 判断函数正负,填入表格
直接看出:图像在x轴上方/下方
12.1.2 一阶导数符号表格(增减)
- f'(x) > 0 ⇒ 函数递增 ↗
- f'(x) < 0 ⇒ 函数递减 ↘
- f'(x) = 0 ⇒ 水平切线 —
12.1.3 二阶导数符号表格(凹凸)
- f”(x) > 0 ⇒ 凹向上 ∪
- f”(x) < 0 ⇒ 凹向下 ∩
- f”(x)=0 且两侧变号 ⇒ 拐点
12.2 绘制函数图像 11 步万能法
- 对称性:奇/偶/非奇非偶
- y轴截距:令x=0
- x轴截距:令y=0
- 定义域:排除无意义点
- 垂直渐近线:分母=0且分子≠0
- 函数正负:符号表格
- 水平渐近线:x→±∞极限
- 一阶导与单调性:增减区间
- 极值:局部最大/最小
- 二阶导与凹凸性:凹向
- 拐点:凹凸改变处
按这11步,任何函数都能画标准图
12.3.1 例题1:有理函数(无导数)
\(f(x)=\dfrac{(x-3)(x-1)^2}{x^3(x+2)}\)
- 定义域:x≠0,-2
- 垂直渐近线:x=0,x=-2
- x截距:x=1,x=3
- 水平渐近线:y=0
- 符号表:(-2,0)、(3,∞)为正,其余为负
12.3.2 例题2:\(f(x)=x\ln x\)(完整作图)
1. 对称性:非奇非偶(x>0)
2. 截距:x=1,无y截距
3. 定义域:x>0
4. 渐近线:无垂直/水平渐近线
5. 导数:\(f'(x)=\ln x+1\),临界点\(x=\dfrac1e\)
6. 单调性:\((0,\frac1e)\)减,\((\frac1e,+\infty)\)增
7. 极值:极小值\((\frac1e,-\frac1e)\)
8. 二阶导:\(f”(x)=\frac1x>0\),全程凹向上
9. 拐点:无
图像:先减后增,全程凹向上,最低点在1/e
12.3.3 例题3:\(f(x)=x^2(x-5)^3\)(高次多项式)
1. 定义域:全体实数
2. 截距:x=0,x=5
3. 一阶导:\(f'(x)=5x(x-5)^2(x-2)\)
4. 临界点:x=0(极大)、x=2(极小)、x=5(拐点)
5. 二阶导:三个拐点:\(2\pm\frac12\sqrt6\),x=5
6. 趋势:x→∞→∞,x→-∞→-∞
图像:先增→减→增,5次多项式趋势
12.3.4 例题4:\(f(x)=xe^{-3x^2/2}\)(指数型)
1. 对称性:奇函数
2. 截距:仅原点
3. 渐近线:y=0(水平)
4. 一阶导:\(f'(x)=(1-3x^2)e^{-3x^2/2}\),极值\(\pm\frac1{\sqrt3}\)
5. 二阶导:拐点x=-1,0,1
6. 趋势:x→±∞,y→0
图像:钟形奇函数,关于原点对称
12.3.5 例题5:分式多项式 \(f(x)=\frac{x^3-6x^2+13x-8}{x}\)
1. 化简:\(x^2-6x+13-\frac8x\)
2. 渐近线:x=0(垂直),无水平
3. 趋势:x→±∞,趋近于\(y=x^2\)
4. 一阶导:临界点x=-1(极小),x=2(拐点)
5. 符号表:x<0为正,0
图像:近抛物线,x=0处断裂
第12章 全书总结(读透版)
- 符号表格:一眼判断正负、增减、凹凸
- 11步流程:截距→定义域→渐近线→导数→极值→拐点
- 一阶导定单调性与极值
- 二阶导定凹凸性与拐点
- 多项式看首项趋势,有理函数看渐近线
- 指数函数必看水平渐近线y=0
- 所有信息必须互相吻合,图像自然成型
本章吃透,任何函数图像都能精准画出!